التأثير الكهروضوئي
| التأثير الكهروضوئي | |
| تفاعل الضوء-المادة | |
| ظواهر الطاقة المنخفضة | التأثير الكهروضوئي |
| ظواهر الطاقة المتوسطة | تشتت كومپتون |
| ظواهر الطاقة العالية | Pair production |
التأثير الكهروضوئي photoelectricity أو المفعول الكهروضوئي أو الظاهرة الكهروضوئية هي انبعاث الالكترونات من بعض الموصلات عند سقوط الضوء عليها وقد حيرت هذه الظاهرة العلماء على اعتبار ان الضوء عباة عن جسيمات كما قال نيوتن إلا أن لكن الجسيمات غير قابلة للحيود التي تنطبق على الضوء لكن جاء العالم هايجنز وفسر الضوء على أنه عبارة عن موجات لكن خصائص الضوء لا ينطبق عليها انبعاث الجسيمات إذا سقطت على الموصلات لكن جاء اينشتاين وعرف الضوء على انه فوتونات أي موجات ليها كتلة سكون.
التاريخ
تاريخياً، لوحظت الكهربائية الضوئية عن طريق صدور إلكترونات من بعض المعادن نتيجة تعريضها لإشعاع ضوئي (الإصدار الكهربائي الضوئي). وقد سمح هذا الإصدار بتأكيد الطبيعة الجسيمية للضوء (الفوتون) وحث على وضع مبدأ الازدواجية بين الموجة wave والجسيم particle لمكونات المادة والذي هو أساس الميكانيك الموجي wave mechanics أو ميكانيك الكم quantum mechanics، وقد مُنح أينشتاين جائزة نوبل نتيجة أعماله التي كان من ضمنها الكهربائية الضوئية وتفسيره لها على أساس امتصاص الضوء على شكل جسيمات منفصلة تدعى الفوتونات photons.
ترتبط الكهربائية الضوئية على المستوى الجسيمي بالتآثر بين الفوتون والإلكترون الحر الموجود في معدن مثلاً. ويمكن أن تنتقل طاقة الفوتونات الواردة بنتيجة هذا التآثر إلى الإلكترونات مما يؤدي إما إلى انتزاعها من المعدن (الإصدار الكهرضوئي)، وفي هذه الحالة تكون الإلكترونات الصادرة قريبة من السطح، وإما أن يؤدي التآثر إلى خلق أزواج من حاملات شحنة حرة في حجم أنصاف النواقل من دون أن تتحرر حاملات الشحنة هذه من المادة فيمر تيار في نصف الناقل إذا طبق فرق كمون بين طرفيه.
سمحت الكهربائية الضوئية - بالاعتماد على أنصاف النواقل - بتصنيع محسات ضوئية موثوقة، ذات أبعاد صغيرة يمكن استخدامها في تطبيقات صناعية وبحثية متنوعة، وفيما يأتي بعض منها:
الخلية الكهربائية الضوئية
تتكون الخلية الكهربائية الضوئية photocell من غلاف شفاف داخله مخلّى من الهواء، ومن مهبط cathode غير ساخن ذي سطح كبير مكون من مادة حساسة ضوئياً، ومن مصعد anode محمول إلى كمون كهربائي موجب نسبةً إلى المهبط.
يسقط الضوء من خلال الغلاف الشفاف على المهبط ويؤدي إلى إصدار إلكترونات منه تنجذب بفعل فرق الكمون المطبق إلى المصعد وتسهم في توليد تيار كهربائي مصعدي. وتتعلق شدة التيار المصعدي بشدة الضوء الساقط، وبلونه، وبفرق الكمون المطبق بين المصعد والمهبط.
إذا كان الضوء وحيد اللون فإن شدة التيار المصعدي تتناسب مع شدة الضوء الواردة، وبالتالي مع عدد الفوتونات الواردة في واحدة الزمن التي تصدم المهبط. وتفسير ذلك بسيط؛ فكلما زاد عدد الفوتونات الواردة في واحدة الزمن زاد عدد الإلكترونات المنتزعة في الواحدة ذاتها وبالتالي زاد التيار المصعدي.
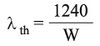
لا تتحسس الخلية الكهربائية الضوئية إلا بتواترات ضوئية أكبر من حد معين. تتعلق قيمة هذا التواتر بطبيعة المادة الحساسة ضوئياً المكونة للمهبط. ويُفسر ذلك بأن الإلكترون بحاجة إلى طاقة W لانتزاعه من مادة المهبط، وبالتالي فإن الطاقة التي يحصل عليها الإلكترون من الفوتون يجب أن تكون أكبر أو تساوي عمل الانتزاع W. أي إن طاقة الفوتون يجب أن تكون أكبر من W، وبما أن عبارة طاقة الفوتون بدلالة تواتره f هي h.f حيث h ثابت بلانك، فإن تواتر الفوتون يجب أن يكون أكبر من تواتر معين يدعى تواتر العتبة fth ويعطى بالعلاقة W=h.fth. غالباً ما يُستخدم طول الموجة الضوئية λ بدلاً من التواتر الضوئي، ونظراً للعلاقة بين التواتر وطول الموجة ، حيث c سرعة الضوء في الخلاء، وبالتعبير عن طول الموجة بواحدة النانومتر وعن عمل الانتزاع بالإلكترون فلط فإن العلاقة التي تعبر عن طول موجة العتبة هي:
من أجل مادة السيزيوم cesium على سبيل المثال: W=1.9eV وبالتالي λth= 650nm (ضوء أحمر).
في حال كون تواتر الضوء الساقط على المهبط أكبر من تواتر العتبة، أو طول موجته أصغر من طول موجة العتبة، فإن الفرق بين طاقة الفوتون وعمل الانتزاع يتحول جزئياً إلى طاقة حركية يكتسبها الإلكترون فينطلق بسرعة v وعندها يكون ، حيث m كتلة الإلكترون.
ينعدم التيار الكهربائي إذا طبّق فرق كمون سالب U0=VA-VK، والذي تزداد قيمته مع تواتر الضوء الوارد f؛ وذلك بسبب السرعة الابتدائية التي تكتسبها الإلكترونات المنتزعة من المهبط والتي تزداد بازدياد التواتر f.
المضاعف الضوئي photomultiplier
ليست الخلايا الكهربائية الضوئية حساسة بالقدر الكافي لكشف الشدات الضوئية الضعيفة؛ ويعود ذلك إلى ضعف التيار الناتج من عدد قليل من الإلكترونات المنتزعة. ويمكن مضاعفة عدد تلك الإلكترونات عن طريق الإصدار الثانوي. إذا طلي سطح المصعد بخليطة من الفضة والمغنزيوم فإن الإلكترون الوارد بطاقة حركية كبيرة يمكن أن يصدر إلكترونات ثانوية عدة، يدعى المسرى المطلي بالمسرى الثانوي dynode. تسرَّع الإلكترونات في حقول كهربائية نحو مسارٍ ثانوية متتالية يُصدر كل منها إلكترونات عدة من أجل إلكترون وارد. يدعى الجهاز الموصوف بالمضاعف الضوئي وهو محس عالي الحساسية يتكون من مهبط حساس للضوء، ومن مسارٍ ثانوية عدة، تعمل على الإصدار الثانوي، ومن مصعد. إذا تضمن المضاعف الضوئي عشرة مسارٍ ثانوية فإن مضاعفة الإشارة يمكن أن تبلغ 910.
تستخدم المضاعفات الضوئية لقياس شدات ضوئية ضعيفة جداً أو لدراسة الإشعاعات النووية. ويستخدم الضوء في نقل المعطيات ومعالجتها باستخدام تجهيزات الإلكترونيات الضوئية مثل الديودات الضوئية والألياف الضوئية وغيرها.[1]
المشاهدات المبكرة
في 1839، لاحظ ألكسندر إدمون بكرل التأثير الكهروضوئي عبر إلكترود في محلول موصل متعرض للضوء. وفي 1873، اكتشف ويلوبي سميث أن السلنيوم موصل للضوء.[بحاجة لمصدر]
فجوات شرارات هرتس
في 1887، لاحظ هاينريش هرتس التأثير الكهروضوئي وانتاج واستقبال الموجات الكهرومغناطيسية. He published these observations in the journal Annalen der Physik.
ستولتوڤ: القانون الأول للتأثير الضوئي
In the period from February 1888 and until 1891, a detailed analysis of photoeffect was performed by ألكسندر ستولتوڤ وقد نشر نتائجه في 6 أعمال.
ج.ج. تومسون: إلكترونات
في 1899، بحث ج.ج. تومسون الضوء فوق البنفسجي في أنابيب كروكس. Influenced by the work of جيمس كلرك ماكسويل, Thomson deduced that cathode rays consisted of negatively charged particles, later called electrons, which he called "corpuscles".
الطاقة المشعة
مشاهدات فون لنارد
في 1902، لاحظ فيليپ لنارد التفاوت في طاقة الإلكترونات حسب تردد الضوء.
أينشتاين: كموم الضوء
الوصف الرياضي الذي أعطاه ألبرت أينشتاين في 1905 of how the photoelectric effect was caused by absorption of quanta of light (now called photons), was in the paper named "On a Heuristic Viewpoint Concerning the Production and Transformation of Light". This paper proposed the simple description of "light quanta", or photons, and showed how they explained such phenomena as the photoelectric effect.
الاستخدامات والتأثيرات
Photodiodes and phototransistors
Photomultipliers
Image sensors
Video camera tubes in the early days of television used the photoelectric effect; newer variants used photoconductive rather than photoemissive materials.[بحاجة لمصدر]
سفن الفضاء
The photoelectric effect will cause spacecraft exposed to sunlight to develop a positive charge.
غبار القمر
Light from the sun hitting lunar dust causes it to become charged through the photoelectric effect.[بحاجة لمصدر]
أجهزة الرؤية الليلية
الفوتونات المرتطمة بلوح من الگاليوم أرسنايد في أجهزة الرؤية الليلية تسبب انبعاث فوتونات ضوئية بسبب التأثير الكهروضوئي. These are then amplified into a cascade of electrons التي تضيء شاشة فسفور.[بحاجة لمصدر]
مقطع
The photoelectric effect is simply an interaction mechanism conducted between photons and atoms. However, this mechanism does not have exclusivity in interactions of this nature and is one of 12 theoretically possible interactions [3].
تأثير الابتعاثية الضوئية
يحدث عندما تُصدر إحدى المواد إلكترونات نتيجة للضوء الساقط عليها. استُخدم هذا التأثير في بعض الخلايا الكهروضوئية المبكرة. وتتكون خلايا الابتعاث الضوئي هذه من أنبوب زجاجيّ يحوي قطباً مشحوناً بشحنة سالبة يسمى الكاثود وقطباً كهربائياً مشحوناً بشحنة موجبة يسمى الأنود. انظر: القطب الكهربائي. ووضع طبقة حساسة للضوء على الكَاثُود، يجعله يُصدر إلكترونات عندما يسقط عليه الضوء. تنجذب الإلكترونات، وهي جسيمات مشحونة بشحنة سالبة، إلى الأنُود المشحون بشحنة موجبة.
ويتناسب سريان الإلكترونات وهو تيار كهربائي مع شدة الضوء عند الكَاثُود، ويمكن تكوين مقياس شدة الضوء بوصل الخلية إلى مقياس شدة التيار.
تأثيرالموصلية الضوئية
يحدث عندما يزداد التيار الكهربائيّ المنساب من خلال مادة، نتيجة للضوء الساقط عليها. ويتغير انسياب الإلكترونات المكونة للتيار، طبقاً لشدة الضوء. والخلايا الكهروضوئية المستخدمة لهذا التأثير عادة ماتحوي قطعة من السيلينيوم أو كبريتيد الكَادمِيوُم. وتستخدم خلية ذات موصلية ضوئية متصلة ببطارية ومقياس تيار، في كثير من آلات التصوير، لقياس شدة الضوء.
تأثير الفولتية الضوئية
يحدث عندما يسبب سقوط ضوء على وصلة بين مادتين انتقال إلكترونات من أحد جانبي الوصلة إلى الجانب الآخر. يؤدي هذا إلى اكتساب إحدى المادتين إلكترونات زائدة لتصبح مشحونة بشحنة كهربائية سالبة. أما المادة الأخرى فتصبح موجبة الشحنة لحدوث نقص في إلكتروناتها. وكما يحدث في البطارية فإن عدم التوازن هذا ينتج قوة دافعة كهربائية يمكن استخدامها لإمرار تيار كهربائي في دائرة.
بعض الخلايا الكهروضوئية المستخدمة للتأثير الكهروضوئي، لها وصلات من النحاس وأكسيد النحاس الأحمر. لكن معظم الأنواع الحديثة تستخدم وصلات من أشباه موصِّلات من الأنواع الموجبة والسالبة. تستخدم الخلايا الكهروضوئية في بعض المقاييس الضوئية الفوتوغرافية، ولها مزايا عدم الحاجة إلى تزويدها بالكهرباء ويمكن صنع مقياس ضوئي بسيط يوصل فولتميتر إلى خلية فولتية ضوئية لقياس القوة الدافعة الكهربائية المتولدة. وتستخدم الخلايا الكهروضوئية في الحاسبات، ومركبات الفضاء، والخلايا الشمسية لإنتاج الطاقة.
انظر أيضاً
المصادر
الهامش
- ^ إياد السيد درويش. "الكهربائية الضوئية". الموسوعة العربية.
- ^ N. Tesla "Apparatus for the Utilization of Radiant Energy" U.S. Patent 685٬957 (1901)
- ^ Evans, R. D. (1955). The Atomic Nucleus. Malabar, Fla.: Krieger. p. 673. ISBN 0898744148.
كتب مرجعية
- Serway, R. A. (1990). Physics for engineers and scientists, 3rd ed. Saunders Publishing
وصلات خارجية
- Physics: Applications of the Photoelectric Effect at HowStuffWorks
- Nave, R., "Wave-Particle Duality". HyperPhysics.
- "Photoelectric effect". Physics 2000. University of Colorado, Boulder, Colorado.
- ACEPT W3 Group, "The Photoelectric Effect". Department of Physics and Astronomy, Arizona State University, Tempe, AZ.
- Haberkern, Thomas, and N Deepak "Grains of Mystique: Quantum Physics for the Layman". Einstein Demystifies Photoelectric Effect, Chapter 3.
- Department of Physics, "The Photoelectric effect". Physics 320 Laboratory, Davidson College, Davidson.
- Fowler, Michael, "The Photoelectric Effect". Physics 252, University of Virginia.
- Curull, Xavi Espinal, "Photoelectric effect Applet". (Java)
- Fendt, Walter, "The Photoelectric Effect". (Java)
- "Applet: Photo Effect". Open Source Distributed Learning Content Management and Assessment System. (Java)
- "Photoelectric Effect". The Physics Education Technology (PhET) project. (Java)