تفاعل إعادة ترتيب
تفاعلات إعادة الترتيب نوعية واسعة من أنواع التفاعلات العضوية حيث يتم إعادة ترتيب الهيكل الكربوني للجزيء ليعطى متزامر بنائي (structural isomer) للجزيء الأصلي. وغالبا يتم تحريك مستبدل من ذرة لأخرى في نفس الجزيء. وفى المثال بالأسفل المستبدل R يتم تحريكه من ذرة كربونC1 ألى C2.
RC1-C2-C3 → C1-RC2-C3
بعض تفاعلات إعادة الترتيب المفتاحية:
1,2-rearrangements
A 1,2-rearrangement is an organic reaction where a substituent moves from one atom to another atom in a chemical compound. In a 1,2 shift the movement involves two adjacent atoms but moves over larger distances are possible. Skeletal isomerization is not normally encountered in the laboratory, but is the basis of large applications in oil refineries. In general straight-chain alkanes, are converted to branched isomers by heating in the presence of a catalyst. Examples include isomerisation of n-butane to isobutane and pentane to isopentane. Highly branched alkanes have favorable combustion characteristics for internal combustion engines.[1]
Further examples are the Wagner-Meerwein rearrangement:
and the Beckmann rearrangement,[2] which is relevant to the production of certain nylons:[3]
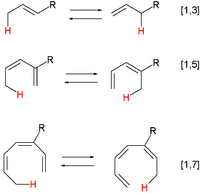
Pericyclic reactions
A pericyclic reaction is a type of reaction with multiple carbon-carbon bond making and breaking wherein the transition state of the molecule has a cyclic geometry, and the reaction progresses in a concerted fashion. Examples are hydride shifts
and the Claisen rearrangement:[4]
Olefin metathesis
Olefin metathesis is a formal exchange of the alkylidene fragments in two alkenes. It is a catalytic reaction with carbene, or more accurately, transition metal carbene complex intermediates.
In this example (ethenolysis, a pair of vinyl compounds form a new symmetrical alkene with expulsion of ethylene.
انظر أيضاً
- Beckmann rearrangement
- Curtius rearrangement
- Hofmann rearrangement
- Lossen rearrangement
- Schmidt reaction
- Tiemann rearrangement
- Wolff rearrangement
- Photochemical rearrangements
- Thermal rearrangement of aromatic hydrocarbons
الهامش
- ^ "Hydrocarbons". Ullmann's Encyclopedia of Industrial Chemistry. Weinheim: Wiley-VCH. 2002. doi:10.1002/14356007.a13_227.
{{cite encyclopedia}}: Cite uses deprecated parameter|authors=(help) - ^ Clayden, Jonathan; Greeves, Nick; Warren, Stuart (2012). Organic chemistry (2nd ed.). Oxford University Press. p. 958. ISBN 978-0-19-927029-3.
- ^ Nuyken, Oskar; Pask, Stephen (25 April 2013). "Ring-Opening Polymerization—An Introductory Review". Polymers. 5 (2): 361–403. doi:10.3390/polym5020361.
{{cite journal}}: CS1 maint: unflagged free DOI (link) - ^ Ziegler, Frederick E. (December 1988). "The thermal, aliphatic Claisen rearrangement". Chemical Reviews. 88 (8): 1423–1452. doi:10.1021/cr00090a001.
شاهد أيضا
- أنواع التفاعلات العضوية الأساسية هى تفاعل إضافة, تفاعل إستبعاد, تفاعل إستبدال, تفاعل إعادة ترتيب ، تفاعل إختزال وأكسدة عضوي.
المصادر
- ويكيبيديا الإنجليزية.